
编辑|娱乐爆社说
●—≺前言≻—●
一般滚动体轴承的缺陷有许多不同的原因,如疲劳、磨损、安装不良、放电、润滑不足、润滑剂污染、电机振动、温度过高、过载和超速等,电机中最常使用的滚动轴承是单列深沟球轴承,其负载区的外滚道缺陷是最常见的轴承问题,传统轴承故障检测和诊断的方法是对轴承振动信号的进行监测和分析。
有学者采用HilbertHuang变换对轴承的振动信号进行分析,还有学者采用参数估计模型对轴承的振动信号进行分析,但振动采集数据系统要增加额外的振动传感器,成本相对较高,且发生轴承故障时,会引起振动信号的频率波动。

由于机床电主轴在发生故障后,振动会引起负载转矩发生变化,从而使得定子电流发生变化,
根据定子电流与振动信号间的关联性,轴承振动中的特征缺陷频率可以反映到定子电流中,定子电流中的振动频率和振动信号在定子电流频谱中体现的故障频率fp之间的关系如下。

其中:fs是供给电源频率,是振动信号的特征频率1,2,3,因此,基于定子电流的故障检测被认为是轴承状态监测的未来趋势,而利用主轴电机的定子电流获取轴承故障检测所需信息的是一种轴承故障检测的非侵入性方法。

电流传感器通常是大部分加工中心电力驱动系统的组成部分,因此不需要采用额外的传感器进行故障检测。
对于定子电流信号,目前已有采用时域或频域的分析方法,由于故障轴承电流信号是非平稳的,这些方法可以在时域和频域上对信号进行分析,适合于非平稳信号的分析。

相关研究员采用自适应时频分析方法来分析定子电流信号,但这种方法需要对提取的特征进行额外的训练,不利于在线监测。
采用频域信号来分析定子电流信号,但初期的故障信号微弱,故障信号不利于被提取,有学者采用小波包变换来分析定子电流信号,但这种方法需要有大量的计算,效率较低。

针对这些问题,本文提出的方法采用基于维格纳分布的经验模态分解(EMD)方法对定子电流信号进行模式分析,而后采用人工神经网络来进行模式识别,从而检测外圈轴承是否存在缺陷。
●—≺方法≻—●
经验模式分解是一种高效的非平稳和非线性信号的分析方法,经验模态分解有一个非常重要的特点,它是一种完全自适应的多尺度分解,根据信号的局部特征时间尺度,将复杂的信号分解为提取内在模式函数的集合。

在第一阶段,采样的定子电流通过每次筛分过程被分解成固有的模式函数,为了使得到的固有模式函数成为恒定振幅的纯调频信号,保证固有模式函数分量保留足够的振幅和频率调制的物理意义,筛分过程应持续多次进行,直到残差值成为一个恒定值。

其中:x(t)是原始定子电流信号,是每次分解后提取的本征模函数之和,是信号经过一系列分解后剩余的恒定值。

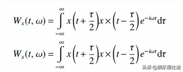
维格纳-维尔分布(WVD)是科恩类分布的1个特殊情况,它通过将信号与自身的时间和频率转换相关联来计算一个时频能量密度,可以避免时频分辨率的损失。
在第二阶段,从第一阶段得到的固有模式函数是一个单分量时域函数,将其用于WVD,产生一个没有交叉项的WVD,采用时频较高的WVD绘制各本征模态函数的WVD等值线图,能够清晰地显示外套圈轴承缺陷在不同载荷条件下的特征频率。

特征提取是模式识别中的重要环节,神经网络通常被认为是模式识别领域的强大工具,基于本征模函数(IMF)中定子电流信号的分解,本文提出了一种基于神经网络的外环轴承缺陷故障诊断方案,然后利用维格纳分布生成维格纳分布的轮廓图。

该方法不需要机床参数和轴承尺寸信息,易于实现,试验结果清楚地表明,定子电流可用于识别外滚道轴承缺陷的存在,神经网络诊断系统对不同负载条件下的外滚道轴承缺陷具有较高的诊断精度。

本文的试验对象为华中数控的CK6136型数控车床,该机床主轴电机采用的是三相异步伺服变频电机,被测感应电机为2马力三相鼠笼式,装载机为直流发电机,星形连接380V网络时额定电流为3.25A,电机转速为1423r/min。
使用VIBDAQ4+数据采集卡对不同负载条件下的定子电流信号进行采样,采样率为12kHz,记录了从健康轴承和外圈缺陷轴承获得的数据,试验轴承采用NSK6205Z型轴承,利用微型钻头在轴承外圈钻了3个直径为20μm的孔,孔间距4mm来模拟外圈缺陷。

本文进行了一系列的试验,以研究所提出的技术在不同负载条件下检测和诊断外滚圈轴承缺陷的性能。

本文提出的诊断方案一般由3个阶段组成,由于负载不同会导致轴承故障所产生的振动信号在定子电流频谱中体现的故障频率不同,并且故障频率会受到骑波干扰且使得波形轮廓线不平滑,从而影响机床主轴轴承外圈故障的检测和诊断。
因而在试验阶段分别采用了2种轴承状态(健康、故障)的3种负载状态(满载、半载、空载)对进行试验。

经验模态分解(EMD)技术是提取不同载荷条件下缺陷轴承特征的第一步,该方法将原始定子电流信号通过筛分过程分解为有限且数量较少的模函数,筛分过程有两个目的:消除骑波和使波廓线在平滑不均匀振幅时更加对称,经验模态分解方法提取了健康轴承和缺陷轴承的大量本征模函数。

从以上试验可以看出,采用经验模态分解技术所进行的分解结果可以识别出不同负载条件下(满载、半满载、空载)外环缺陷激励的频率分量。
如前面内容所述,在应用经验模态分解法后,可以将得到的定子电流的本征模函数应用到维格纳分布上,WVD中对于的定义如下:

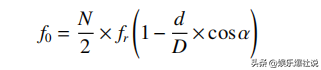
定子电流信号的主要分量位于前2种模式,外圈轴承故障与振动信号在定子电流频谱中体现的故障频率之间的关系为:

其中,为球数,为球直径,为轴承节距直径,为转子的转动频率,为球接触角,得出不同负载条件下的外圈轴承缺陷特征频率。

确定振动信号在定子电流频谱中体现的故障频率,以作为不同负载条件下维格纳分布修复轮廓图中频率的指导。
结果表明,振动信号在定子电流频谱中体现的故障频率出现在维格纳分布的修复轮廓图上,可以作为外圈轴承缺陷的1种指示,定子电流信号的主要成分位于前2种模式中,这就产生了用本征模函数2分析外圈轴承缺陷的可能性。

针对外圈轴承缺陷,本文研究了WVD在不同负载条件下检测和诊断轴承缺陷的能力,从实验数据可以看出,不同负载条件的健康轴承和外圈缺陷轴承的电流信号下WVD的修复轮廓图包含故障频率,另外,该频率有1个间隔7ms的修复模式,是由外圈轴承缺陷造成的。
模式识别系统采用神经网络对维格纳分布外圈轴承缺陷在不同载荷条件下的重复轮廓模式进行检测和诊断,本文中采用了1种双隐层前馈人工神经网络,采用反向传播算法进行训练。

反向传播算法使用1个目标函数,目标函数定义为期望输出和网络输出之间的平方误差之和,用3种训练模式(满载、半载和空载)训练神经网络,输出层对应不同载荷的外圈轴承缺陷。
从数据可以看出,在轴承外圈发生故障时,其在空载状态下,神经网络响应输出为0.15说明外圈轴承存在缺陷;在半载状态下,输出为0.5说明外圈轴承存在缺陷。
在满载状态下,输出为1说明外圈轴承存在缺陷;当在3种状态下,输出为0说明外圈轴承为健康状态,神经网络响应成功地检测和诊断了不同载荷条件下的外圈故障。


经过上述多次重复性试验,本方法在不同载荷条件下检测外圈故障均有较好的表现,表中列出了在不同载荷条件下对外圈故障的平均识别率和分析时间。

从实验结果可以看出,半载时检测的准确率均值为99.2%,空载时检测的准确率均值为98.9%,满负载检测的准确率均值为98.6%,系统检测率均值为98.9%,分析时间均值为0.016s。

从上述试验可以看出,采用经验模态分解与维格纳分布来进行故障特征提取,再利用人工神经网络对故障样本的进行模式识别,这种方法在机床主轴轴承外圈缺陷的故障诊断中,具有较高的诊断效率和诊断精度,以及有较强的鲁棒性和适应性。
●—≺结语≻—●
机床主轴的工作状态直接影响着生产过程是否能够正常运行,对于机床主轴轴承利用定子电流进行非接触式的状态监测及故障检测,能够在不影响运行的情况下,及时发现问题,最大限度地减少故障所造成的损失。

本文在前人研究的基础上,提出了一种更有效、更可靠的故障诊断方法,将经验模态分解与维格纳分布相结合进行故障特征提取,再利用人工神经网络进行故障样本的模式识别,可有效检测机床主轴轴承外圈缺陷。
试验结果表明,在不同负载条件下,基于经验模态分解的维格纳分布定子电流监测对外圈缺陷的故障检测和诊断具有准确率高,计算量小,检测成本低等优点,具有一定的工程实用及推广价值。